给定一个已排序的链表的头 head , 删除原始链表中所有重复数字的节点,只留下不同的数字 。返回 已排序的链表 。
示例 1:
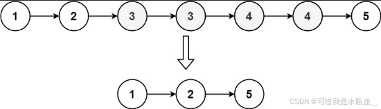
输入:head = [1,2,3,3,4,4,5]
输出:[1,2,5]
示例 2:
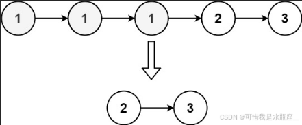
输入:head = [1,1,1,2,3]
输出:[2,3]
提示:
链表中节点数目在范围 [0, 300] 内
-100 <= Node.val <= 100
题目数据保证链表已经按升序 排列
先遍历一边链表,利用哈希表记录每个数字出现了多少次
然后再遍历一边,跳过哪些所有出现次数超过1的节点
# Definition for singly-linked list. # class ListNode: # def __init__(self, val=0, next=None): # self.val = val # self.next = next class Solution: def deleteDuplicates(self, head: Optional[ListNode]) -> Optional[ListNode]: cur = dummy = ListNode() dummy.next = head dic = {} while cur.next: dic[cur.next.val] = dic.get(cur.next.val, 0) + 1 cur = cur.next cur = dummy while cur and cur.next: while cur and cur.next and dic[cur.next.val] > 1: cur.next = cur.next.next cur = cur.next return dummy.next